首页
院系概况
学院简介
学院领导
机构设置
教研室设置
行政办公室
工会教代会
师资队伍
教师简介
兼职教师
学科建设
学科简介
学科评估
人才培养
招生信息
学生培养
本科生培养
研究生培养
教学管理
教研动态
教研成果
教务考务运行
科学研究
科研动态
科研成果
政策制度
工作论文
党群工作
党建动态
团建工作
学生事务
奖励资助
就业指导
学生服务
研究生会
职能部门
研会活动
工会教代会
当前位置 >>
首页
>>
通知公告
<< 通知公告
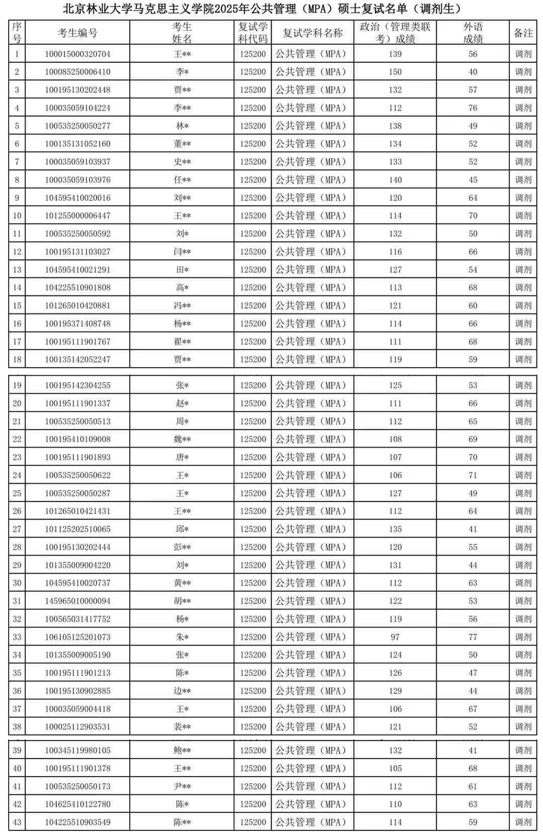
北京林业大学马克思主义学院2025年公共管理(MPA)硕士复试名单(调剂生)
来源:马克思主义学院
时间:25-04-09
点击次数:
附件:
北京林业大学马克思主义学院2025年公共管理(MPA)硕士复试名单(调剂生)